Предмет: Математика,
автор: sefre
пожалуйста побыстрее пошагово
Приложения:
Ответы
Автор ответа:
3
Ответ:
49
Пошаговое объяснение:
выберите как лучший если понравится
Автор ответа:
1
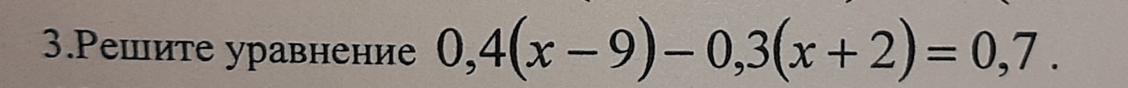
0,4(x-9)-0,3(x+2)=0,7
0,4x-3,6-0,3x-0,6=0,7
0,1x-4,2=0,7
0,1x=4,9
x=49
0,4x-3,6-0,3x-0,6=0,7
0,1x-4,2=0,7
0,1x=4,9
x=49
Похожие вопросы
Предмет: Информатика,
автор: zmei1234
Предмет: Русский язык,
автор: Аноним
Предмет: Геометрия,
автор: Аноним
Предмет: Математика,
автор: дарья1316