Предмет: Математика,
автор: xcxcxc4
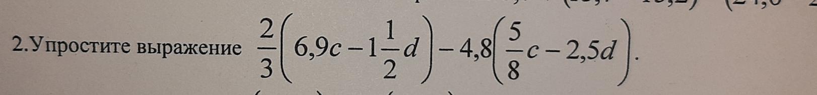
побыстрее пошагово пожалуйста очень много баллов
Приложения:
Ответы
Автор ответа:
0
Ответ:
Пошаговое объяснение:
Переведем десятичные дроби в обычные: 6,9=69/10 ; 4,8=48/10 ; 25/10
Обычные дроби с целым показателем: 3/2
Раскроем скобки (умножаем 2/3 на 69/10с и -3/2d по отдельности; умножаем -48/10 на 5/8с и на -25/10d по отдельности :
Приведем подобные. 23/5c и 3c ; -d и 12d
Приведем к общему знаменателю числа 23/5с и 3с (общий знаменатель: 5)
Похожие вопросы
Предмет: Русский язык,
автор: stasya1105
Предмет: Обществознание,
автор: Аноним
Предмет: Русский язык,
автор: ленка648
Предмет: Математика,
автор: Аноним
Предмет: Физика,
автор: Himik177