Предмет: Алгебра,
автор: dianakuzmina1508
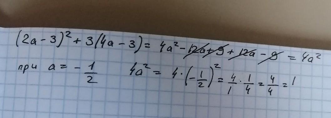
даю 15 баллов!!! помогите пожалуйста
Приложения:
Ответы
Автор ответа:
1
Ничего сложного, если знать ФСУ)
Приложения:
dianakuzmina1508:
спасибо огромное!
не за что)
Похожие вопросы
Предмет: Русский язык,
автор: elenatsukanova
Предмет: Математика,
автор: vik99180148
Предмет: Математика,
автор: 12yfnfif12
Предмет: Математика,
автор: tirusavto3