Предмет: Алгебра,
автор: dmitriilen
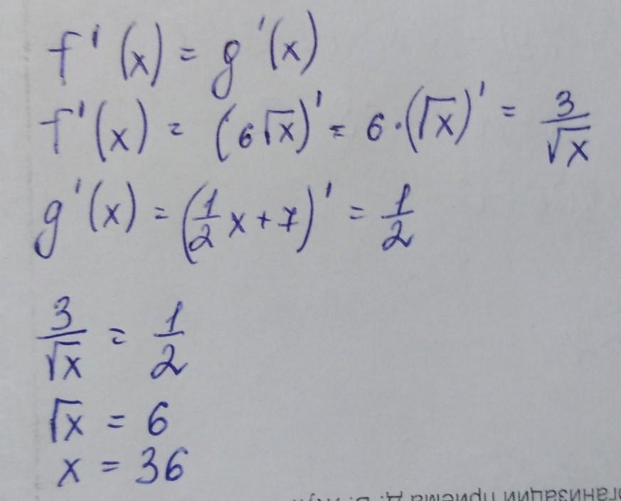
Решить уравнение f'(x)=g'(x),если известно что f(x)=6√x. g(x)=½x+7
25 баллов
Приложения:
Ответы
Автор ответа:
8
Ответ:
36
Объяснение:
Решение на фото........
Приложения:
Похожие вопросы
Предмет: История,
автор: natasik99
Предмет: Математика,
автор: Аноним
Предмет: Литература,
автор: SuperAndrey99
Предмет: Математика,
автор: mkovalenka