Предмет: Алгебра,
автор: Аноним
алгебра 8 класс
решить на листочке
Приложения:
Ответы
Автор ответа:
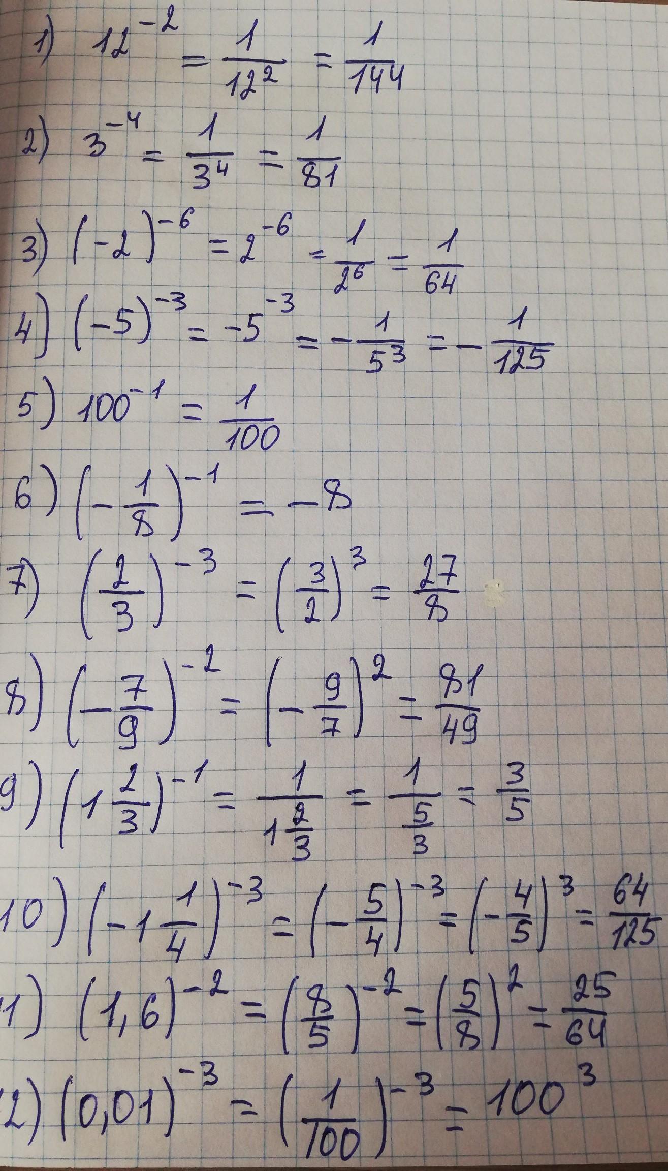
1
Ответ:
Ответ : номер 197.
Приложения:
Похожие вопросы
Предмет: Русский язык,
автор: Марина2404
Предмет: Литература,
автор: Daria1024
Предмет: Математика,
автор: NastyKalashnikova
Предмет: Биология,
автор: angelina202
Предмет: Математика,
автор: эркин5