Предмет: Алгебра,
автор: Аноним
.................... помогите упростите выражение
Приложения:
Ответы
Автор ответа:
2
Ответ:
1) (12m-1)^2-1=144m^2-24m+1-1=144m^2-24m=24m(6m-1)
2) 121-(11-7x)^2=121-121+154x-49x^2=7x(22-7x)
3) a^2+49-(a-7)^2=a^2+49-(a^2-14a+49)=a^2+49-a^2+14a-49=14a
Аноним:
спасибо большое
когда упрощаешь, не нужно на множители потом раскладывать
Автор ответа:
2
Ответ:
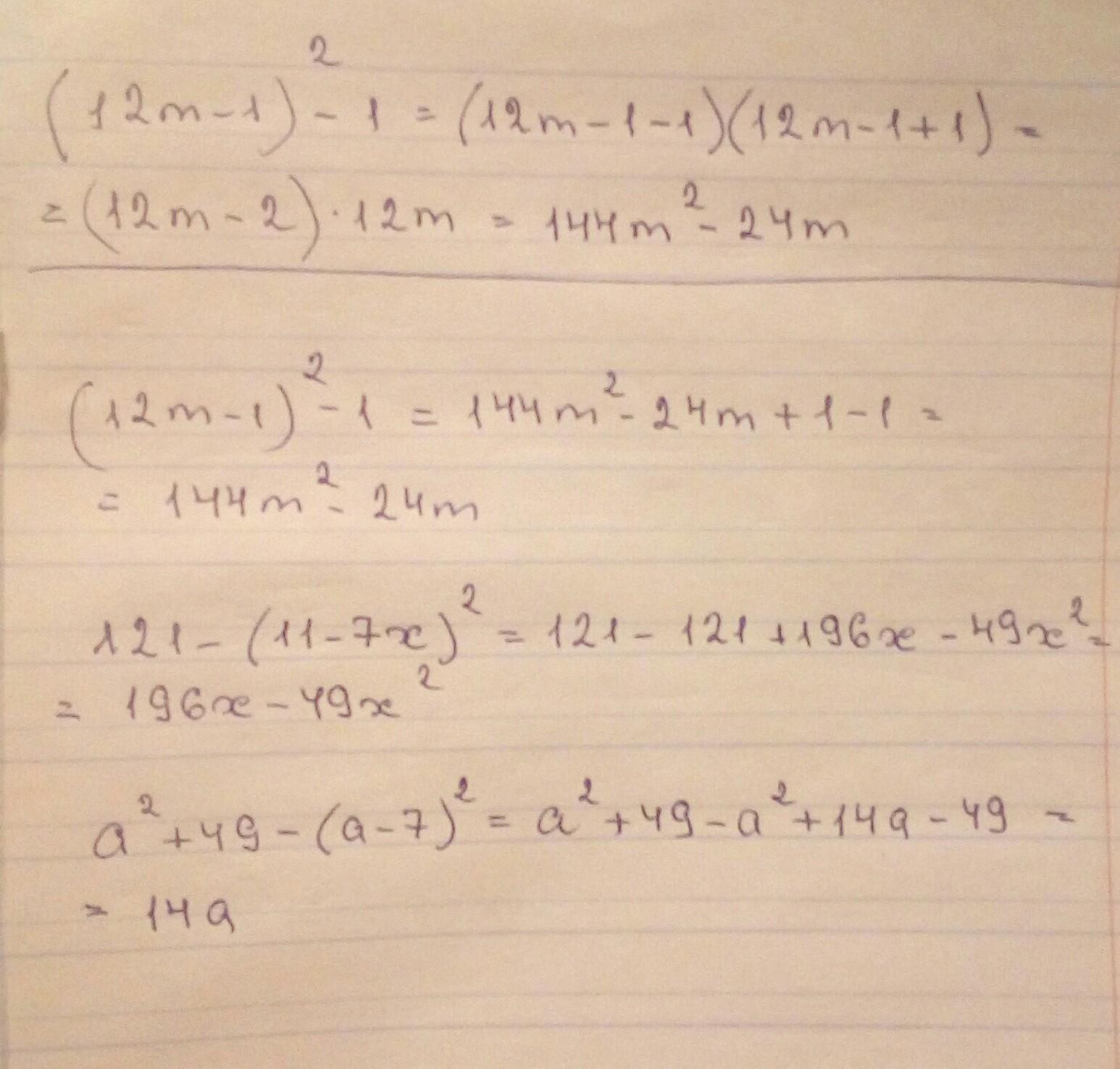
фоточка тебе в помощь ;)
Приложения:
спасибо большое
а вы геометрию знаете
неа(((
хорошо спасибо большое ))
Похожие вопросы
Предмет: Биология,
автор: Kiwi98
Предмет: Химия,
автор: NatashaBlazhko
Предмет: История,
автор: 1Демонесса1
Предмет: Математика,
автор: Barvi
Предмет: Математика,
автор: аввввввввввввввввввв