Предмет: Алгебра,
автор: Abekot
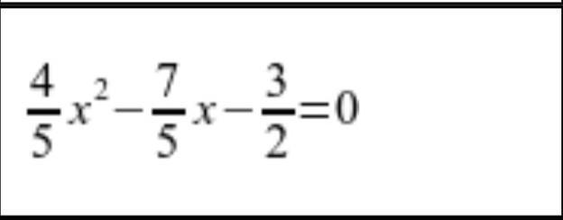
Решите
квадратное
уравнение,
используя формулу
дискриминанта D
Приложения:
Ответы
Автор ответа:
1
Ответ:
Объяснение:
На фото объяснение
Приложения:
Похожие вопросы
Предмет: Геометрия,
автор: ПомогуЧемСмогу
Предмет: Геометрия,
автор: Аноним
Предмет: Українська мова,
автор: Holly8
Предмет: Математика,
автор: MiLaNaG1
Предмет: Алгебра,
автор: zhandos200329