Предмет: Математика,
автор: CycucjvmzuOkfcjcvu
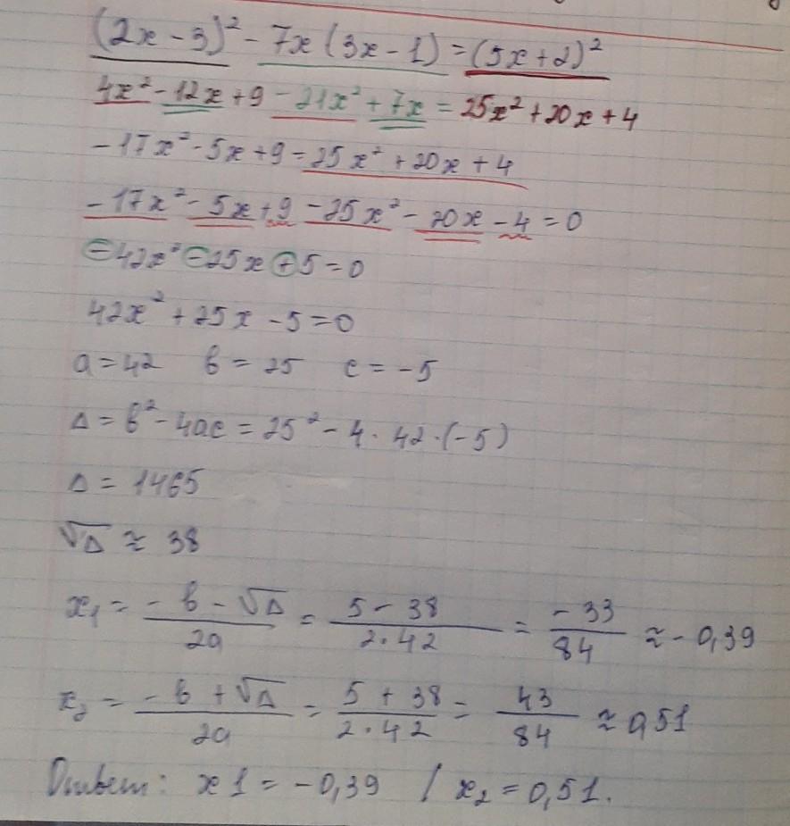
Решите пожалуйста уравнение:
(2x - 3)^2- 7x(3x-1) = (5x + 2)^2
Заранее спасибо^^
Ответы
Автор ответа:
0
Надеюсь,что решила правильно
Приложения:
Похожие вопросы
Предмет: Химия,
автор: максt
Предмет: Другие предметы,
автор: зоюш
Предмет: Информатика,
автор: chokochoko
Предмет: Математика,
автор: xKoKSii