Предмет: Алгебра,
автор: x0x1x0x9
терміново ?!!!!??!?? ДОПОМОЖІТЬ БУДЬ ЛАСКА .....
Приложения:
Ответы
Автор ответа:
1
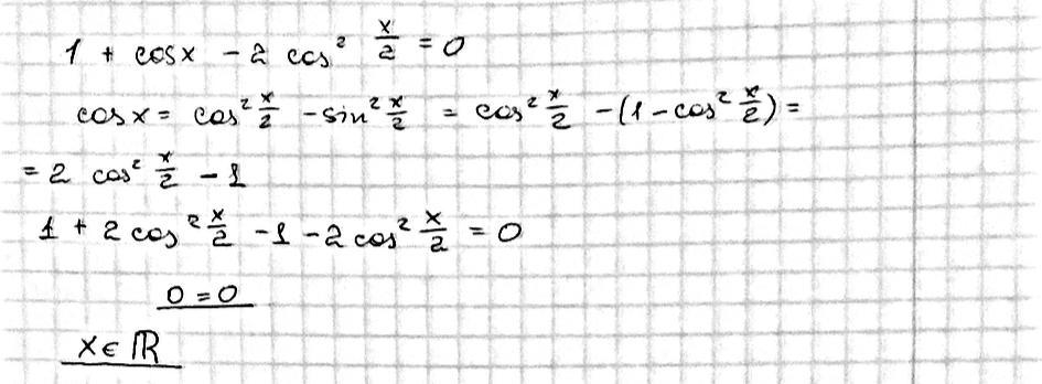
Решение представлено на фотографии:
Приложения:
Похожие вопросы
Предмет: Математика,
автор: Vasilly
Предмет: Литература,
автор: KatyaEwans
Предмет: Математика,
автор: tang
Предмет: Математика,
автор: Ангелюш
Предмет: Математика,
автор: lisik31