Предмет: Алгебра,
автор: Lesya1233
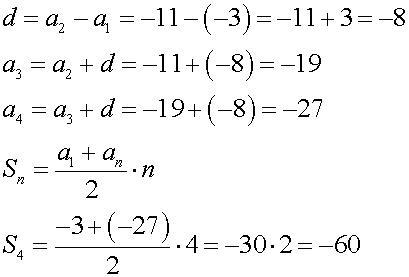
Вычисли следующие два члена арифметической прогрессии и сумму первых четырёх членов, если a1=9 и a2=10,4.
Ответы
Автор ответа:
0
Ответ:
На фото
Объяснение:
всегда пожалуйста)
Приложения:
Похожие вопросы
Предмет: Химия,
автор: altaire
Предмет: Английский язык,
автор: vamlen
Предмет: Математика,
автор: Аноним
Предмет: Литература,
автор: БзарбековББ
Предмет: Литература,
автор: Аня2105200