Предмет: Математика,
автор: Аноним
Дам 10 балов оооггоого паммагите
Приложения:
Ответы
Автор ответа:
0
Ответ:
Пошаговое объяснение:
Приложения:
Автор ответа:
0
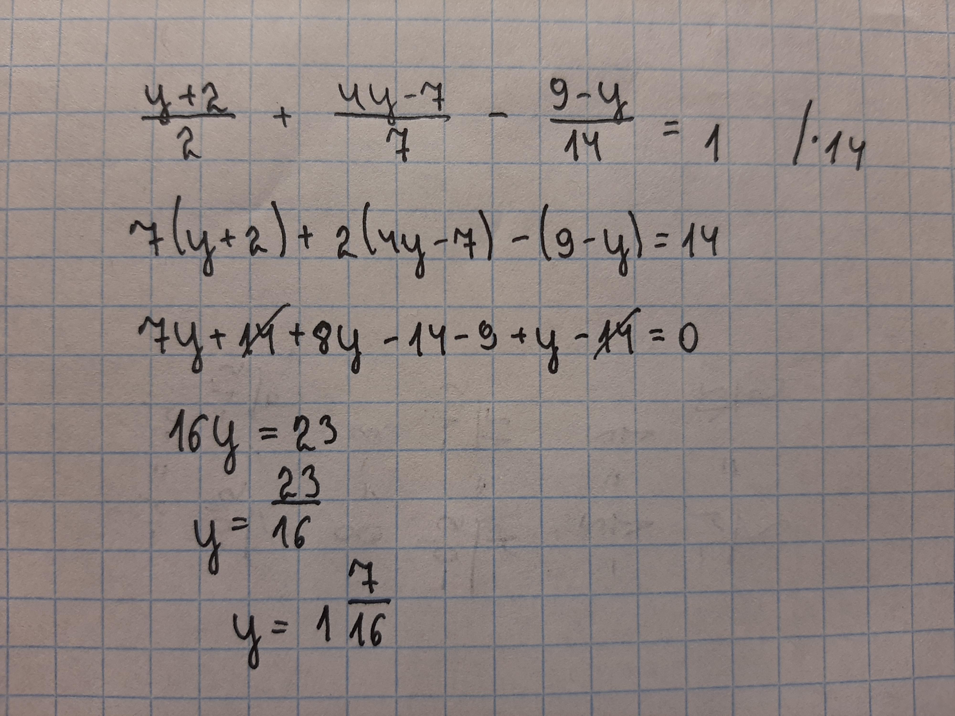
Умножить обе части уравнения на 14
7(y+2)+2(4y-7)-(9-y)=14
Распределить 7 через скобки
7y+14+2(4y-7)-(9-y)=14
Распределить 2 через скобки
7y+14+8y-14-(9-y)=14
Сократите равные члены в обеих частях уравнения (14)
7y+8y-14-(9-y)=0
Когда перед скобками стоит знак "-", измените знак каждого члена в скобках
7y+8y-14-9+y=0
Привести подобные члены
16y-14-9=0
Вычислите разность
16y-23=0
Перенести постоянную в правую часть и сменить ее знак
16y=23
Разделите обе стороны уравнения на 16
Похожие вопросы
Предмет: Українська мова,
автор: Тамилавика
Предмет: Биология,
автор: Antonqr
Предмет: Українська мова,
автор: udo
Предмет: Математика,
автор: 7732
Предмет: Литература,
автор: 3abaarotvetb