Предмет: Алгебра,
автор: Аноним
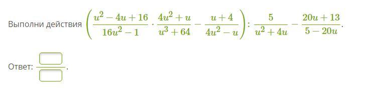
даю 80 БАЛЛОВ ПОЖАЛУЙСТА СДЕЛАЙТЕ ПРАВИЛЬНО
Приложения:
Ответы
Автор ответа:
0
Ответ:3/5 или 0.6
Объяснение:
Автор ответа:
0
Ответ во вложении ::::
Приложения:
Похожие вопросы
Предмет: Математика,
автор: MrBatonchik
Предмет: Литература,
автор: Gulnaziki
Предмет: Қазақ тiлi,
автор: a41299a1343
Предмет: Математика,
автор: Radmirf
Предмет: Алгебра,
автор: otluchik0913