Предмет: Математика,
автор: yulenkal3onowa
Решите уровнения.
1) - 2х +16=5х-19
2) 25- 3b=9-5b
3) 3+ 11y=203+y
4) 21x-5=x+2
5) 2/5x-3/5=1/5x
6) 0,5 y - 0, 6 = 0,1y+0,2
7) 2/3z=2/9z-4/9
8) 3x-5=x+7
9) 1/3x=1/2x+1
Дам много срочно!!!
Ответы
Автор ответа:
2
1) -2х-5х=-19-16
-7х=-35
х=(-35):(-7)
х=5
Ответ: 5
2) -3b+5b=9-25
2b=-16
b=-16:2
b=-8
Ответ: -8
3) 11у-у=203-3
10у=200
у=200:10
у=20
Ответ: 20
4) 21х-х=2+5
20х=7
х=7:20
х=0,35
Ответ: 0,35
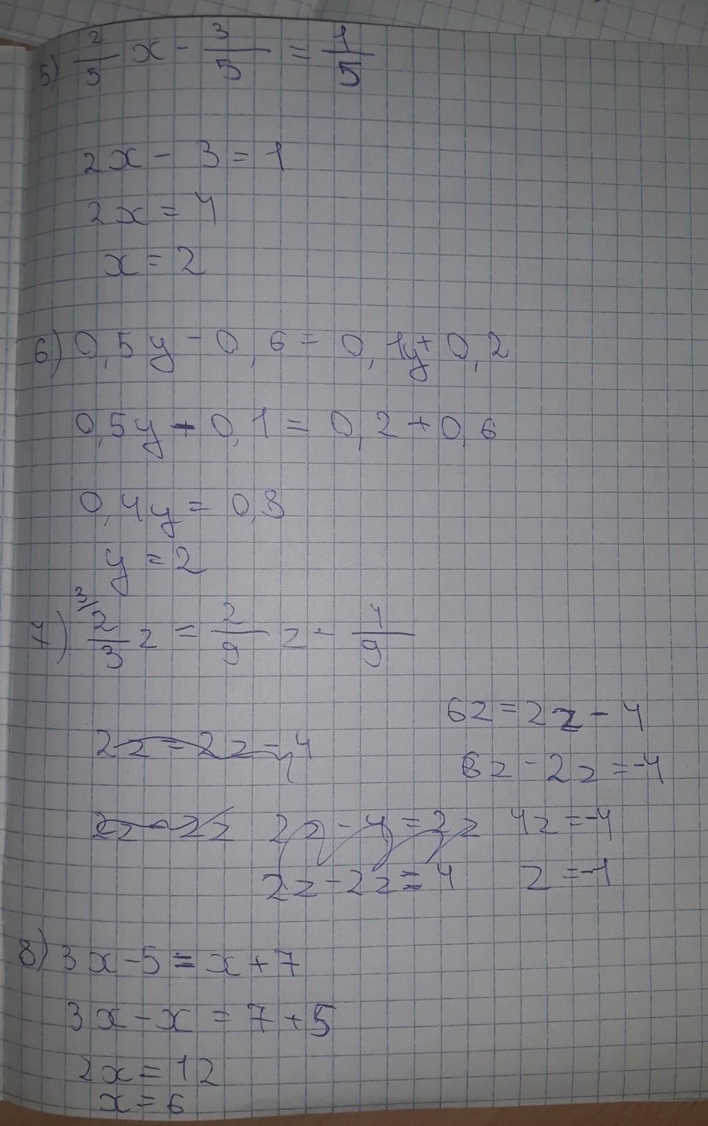
5) Ответ: 3 (смотри фото)
6) 0,5у-0,1у=0,2+0,6
0,4у=0,8
у=0,8:0,4
у=2
Ответ:2
7) Ответ: -1 (смотри фото)
8) 3х-х=7+5
2х=12
х=12:2
х=6
Ответ: 6
9) Ответ: -6 (смотри фото)
-7х=-35
х=(-35):(-7)
х=5
Ответ: 5
2) -3b+5b=9-25
2b=-16
b=-16:2
b=-8
Ответ: -8
3) 11у-у=203-3
10у=200
у=200:10
у=20
Ответ: 20
4) 21х-х=2+5
20х=7
х=7:20
х=0,35
Ответ: 0,35
5) Ответ: 3 (смотри фото)
6) 0,5у-0,1у=0,2+0,6
0,4у=0,8
у=0,8:0,4
у=2
Ответ:2
7) Ответ: -1 (смотри фото)
8) 3х-х=7+5
2х=12
х=12:2
х=6
Ответ: 6
9) Ответ: -6 (смотри фото)
Приложения:
Автор ответа:
0
Ответ:
1111111111111111111
Приложения:
Похожие вопросы
Предмет: Математика,
автор: olicka2003
Предмет: Математика,
автор: Лиза002
Предмет: Математика,
автор: Аноним
Предмет: Обществознание,
автор: lana1315
Предмет: Математика,
автор: Raum1337