Предмет: Алгебра,
автор: ArxontaS62
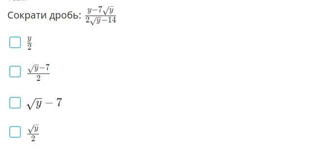
Сократи дробь: у-7√у/
2√у-14
Приложения:
Ответы
Автор ответа:
1
Ответ: Ответ на фото
Объяснение:
Приложения:
Похожие вопросы
Предмет: Русский язык,
автор: nastialapina
Предмет: Литература,
автор: Kristinohka1
Предмет: Русский язык,
автор: Pigi123
Предмет: Химия,
автор: Malinka961