Предмет: Алгебра,
автор: maryanasvirska253
будь ласка розв'яжіть
Приложения:
Ответы
Автор ответа:
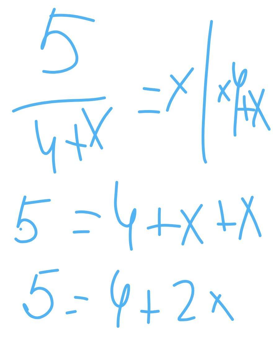
1
Объяснение:
5=4+2x
-2x=4-5
-2x=1 (домножить на -1)
2x=-1
x=-1/2
Приложения:
maryanasvirska253:
а воно зводиться до квадратних
Похожие вопросы
Предмет: Английский язык,
автор: Алена858
Предмет: Русский язык,
автор: Eleonora1995
Предмет: Математика,
автор: Миленочка0510
Предмет: Математика,
автор: eegorova321
Предмет: Математика,
автор: DashaZefir