Предмет: Математика,
автор: ekcpnmkf
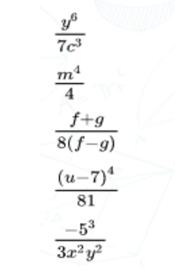
является ли выражение алгебраической дробью
,?
Приложения:
Ответы
Автор ответа:
1
Ответ:
Пошаговое объяснение:
Приложения:
Похожие вопросы
Предмет: Математика,
автор: leha2003
Предмет: Русский язык,
автор: МаксимСудаков
Предмет: Русский язык,
автор: wayne02
Предмет: Математика,
автор: Беата2200