Предмет: Геометрия,
автор: ananam885
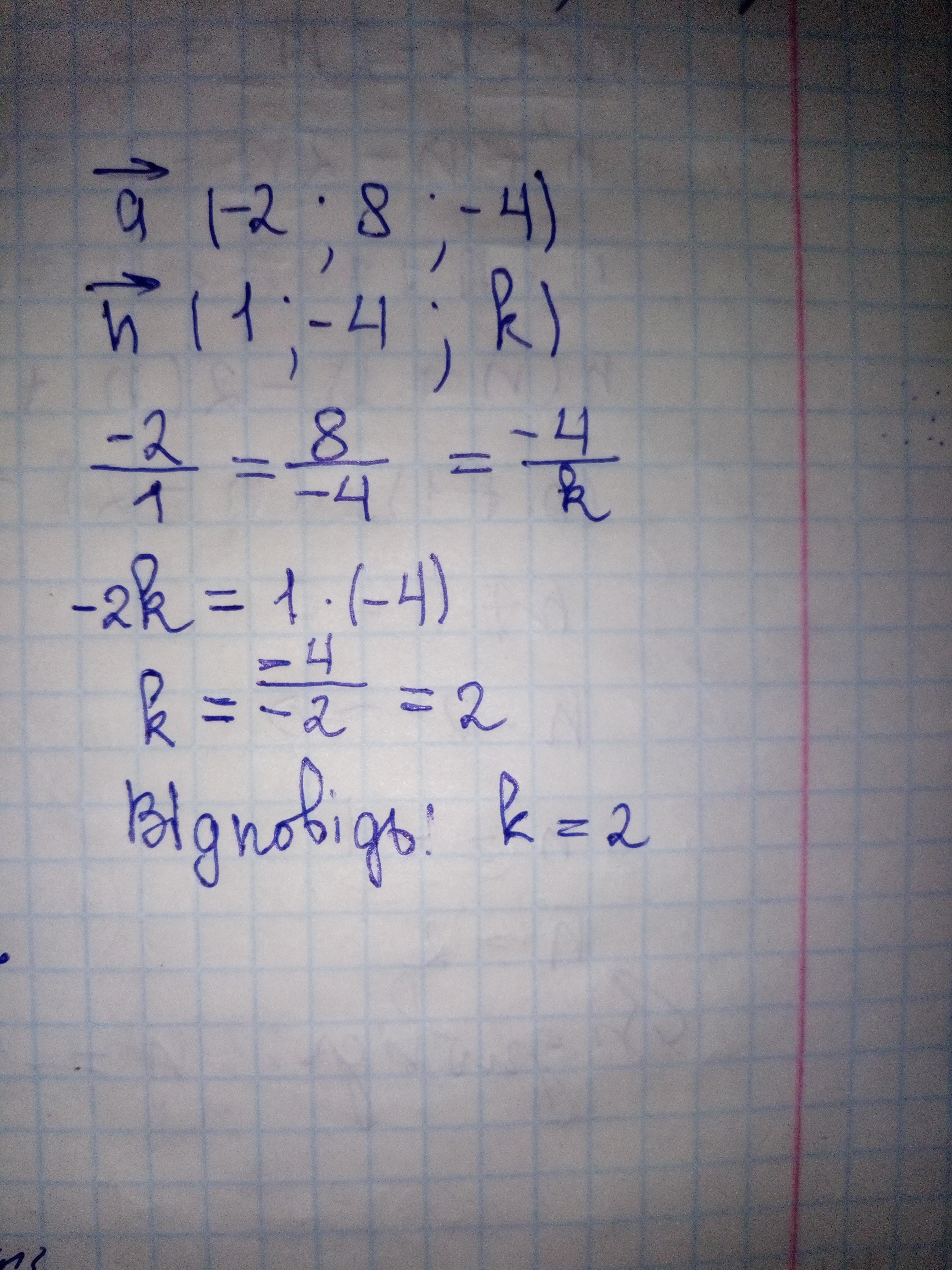
Дано вектори a ⃗ (-2; 8; -4) і n ⃗ (1; -4; k). При якому значенні k вектори a ⃗ і n ⃗ колінеарні?
Ответы
Автор ответа:
2
Ответ:
Объяснение: Готово
Приложения:
Похожие вопросы
Предмет: Русский язык,
автор: Алеккс
Предмет: Другие предметы,
автор: Interpretation
Предмет: Другие предметы,
автор: 1113
Предмет: Алгебра,
автор: Direx1337
Предмет: Математика,
автор: dachalove