Предмет: Математика, автор: MashaFia

Решить неопредленый интеграл

Приложения:

Ответы

Автор ответа: Miroslava227
0

Ответ:

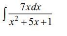
решение на фотографии

Приложения:
Автор ответа: matematikL
0

Ответ:

Пошаговое объяснение:

ось і все

Приложения:
Похожие вопросы
Предмет: Русский язык, автор: gesymy

Помогите написать вступление и определитель проблему.

(1) Шел май сорок третьего года . (2) На отдыхе нам выдали к обеду один котелок на двоих . (З) Суп был сварен с макаронами , и в мут- ной глубине котелка невнятно что-то белело . (4)В пару со мной угодил пожилой боец. (5) Мы готовились похле- бать горячей еды, которую получали редко. 6) Мой напарник вынул из тощего вещмешка ложку, и сразу упал духом: большая деревянная ложка была уже выедена по краям, а у меня ложка была обыкновенная, алюминиевая... 7) Я засуетился было , затаскал свою узкорылую ложку туда да обрат но, как вдруг заметил, что напарник мой не спешит и своей ложкой не злоупотребляет. (8)Зачерпывать-то он зачерпывал во всю глубину ложки, но потом, как бы ненароком, задевал за котелок , из ложки выплескивалась половина обратно, и оставалось в ней столько же мутной жижицы, сколько и в моей ложке, может, даже и поменьше. (9)В котелке оказалась одна макаронина. (10)0дна на двоих .(11)Длинная, из довоенного теста, может, и из самой Америки, со «второго фронта». (12) Мутную жижицу мы перелили ложками в себя, и она не утолила, а лишь сильнее возбудила голод. (13)А как хотелось мне сцапать ту макаронину, не ложкой, нет, с ложки она соскользнет обратно, шлепнется в котелок , рукою мне хотелось ее сцапать — и в рот! (14)Если бы жизнь до войны не научила меня сдерживать свои по- рывы и вожделения, я бы, может, так и сделал: схватил, заглотил: и чего ты потом со мной сделаешь? (15)Ну, завезешь по лбу ложкой, ну, может, пнешь и скажешь: «Шакал!» Я отвернулся и застланными великим напряжением глазами смотрел на окраины древнего городка, ничего перед собой не видя. В моих глазах жило одно лишь трагическое видение — белая макаронина... Раздался тихий звук. (19)Я вздрогнул и обернулся, уверенный, что макаронины давно уж на свете нет...(20)Но она лежала, разва- ренная, и , казалось мне, сделалась еще дородней и привлекатель ней своим царственным телом. Мой напарник первый раз пристально глянул за меня — и в глу бине его усталых глаз я заметил какое-то всепонимание и усталую мудрость, что готова и ко всепрощению, и к снисходительности. Он молча же своей зазубренной ложкой раздвоил макаронину, но не на равные части, и я затрясся внутри от бессилия и гнева: ясное дело, конец макаронины, который подлинее, он загребет себе. (23)Но деревянная ложка коротким толчком подсунула к моему краю именно ту часть макаронины, которая была длинее. 124)Напарник мой безо всякого интереса, почти небрежно забросил в рот макаронину, облизал ложку, сунул ее в вещмешок и ушел куда-то. (25)В Спине его серой, в давно небритой, дегтярно чер¬неющей шее, в кругло и серо обозначенном стриженом затылке чудилось мне всесокрушающее презрение. * 26) И никогда, нигде я его более не встретил, но и не забыл случай чайного напарника по котелку , не забыл на ходу мне преподанного урока, может, самого справедливого, самого нравственного из всех уроков, какие преподала мне жизнь.