Предмет: Математика,
автор: h0se0k
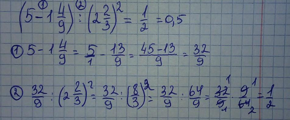
вычислите (5-1 4/9):(2 2/3)²
буду благодарна
h0se0k:
вычислите (5-1 4/9):(2 2/3)² - 219 !!
Ответы
Автор ответа:
1
Ответ:
В приложении
-------------------------
Удачного дня
Приложения:
благодарю!!
Автор ответа:
1
(5-13/9)/(8/3)²=0,5
1) 45/9-13/9=32/9
2) (8/3)²=64/9
3)32/9*9/64=288/576=0,5
спасибо!!
Похожие вопросы
Предмет: Русский язык,
автор: lehtvfh
Предмет: Русский язык,
автор: Аноним
Предмет: Русский язык,
автор: Orhideus
Предмет: Математика,
автор: vipdenmalakho
Предмет: Литература,
автор: difim