Предмет: Математика,
автор: MariaKol225
СРООООЧНО!!!!!!
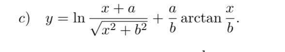
Помогите найти производную функции, если a и b константы!!!!
Помогите пожалуйста, очень Вас прошу.
Буду очень благодарна!!!
Приложения:
Ответы
Автор ответа:
1
Решение смотрите во вложении
Приложения:
MariaKol225:
Можете помочь с другим заданием?
Так a и b константы, значит они уходят, а где?
Похожие вопросы
Предмет: Русский язык,
автор: AdilyaGalimova
Предмет: Другие предметы,
автор: Аноним
Предмет: Українська мова,
автор: КИЦЬОЧКА
Предмет: Алгебра,
автор: svetylya476lya
Предмет: Математика,
автор: ангелок581