Предмет: Алгебра,
автор: petro432
Заранее спасибо!!!!!!!!!!!!!!!!!!!!!
Приложения:
Ответы
Автор ответа:
1
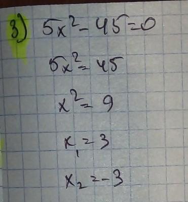
Ответ:
В приложении
Если мой ответ Вам помог
Отметте его ЛУЧШИМ
Приложения:
Похожие вопросы
Предмет: Русский язык,
автор: lexa503
Предмет: Русский язык,
автор: безника12
Предмет: Русский язык,
автор: cricon
Предмет: Математика,
автор: katya15062005