Предмет: Алгебра,
автор: dhdjsjhe
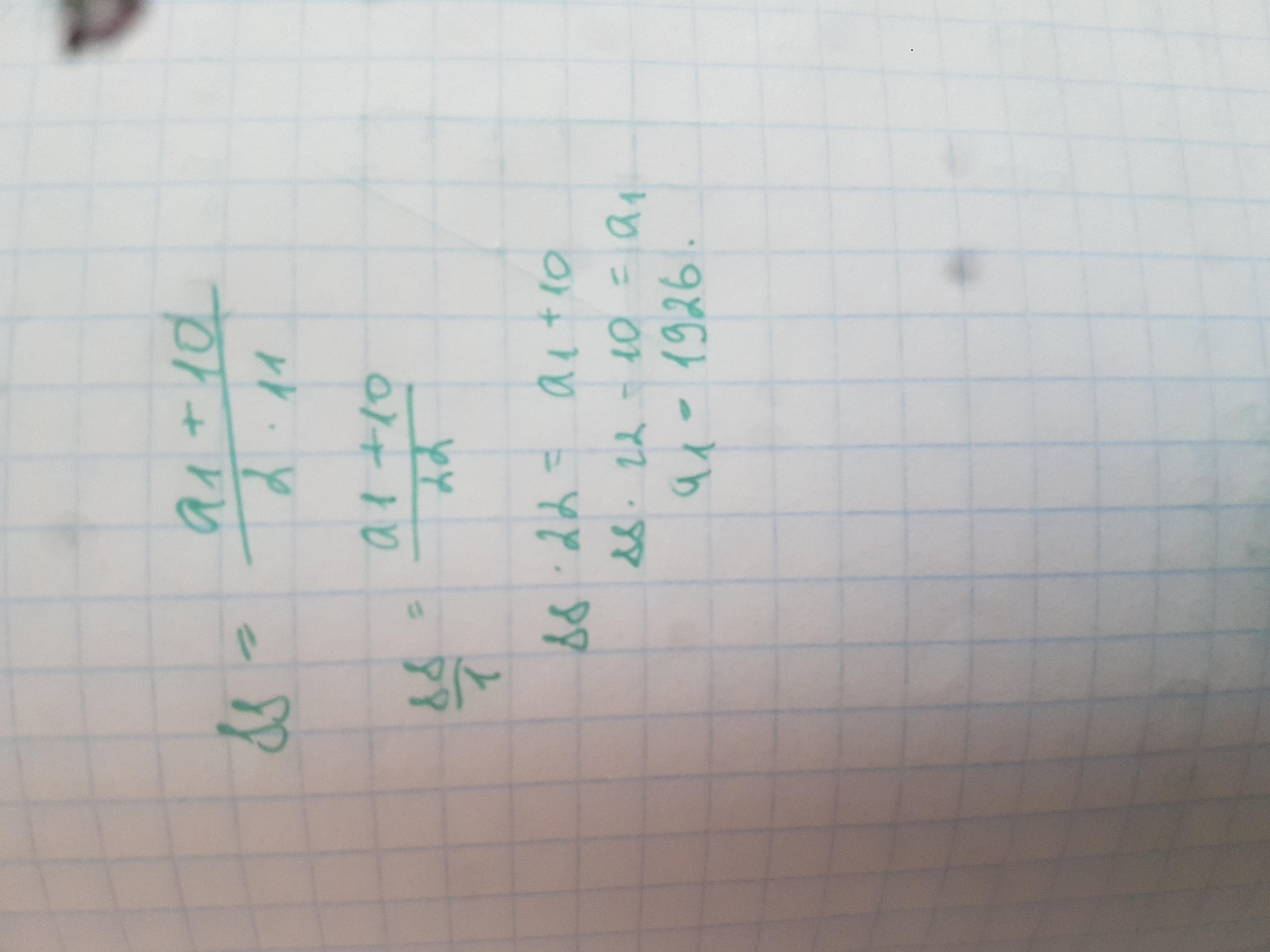
88=(a1+10)/2*11 найдите a1
Ответы
Автор ответа:
1
Відповідь:1926
Пояснення:
Приложения:
Автор ответа:
2
Ответ:
a1=1926
Объяснение:
проверяем:
(1926+10)/2×11=88
1936/22=88
88=88
Приложения:
Похожие вопросы
Предмет: Английский язык,
автор: Izengard
Предмет: Українська мова,
автор: Aleska5
Предмет: Русский язык,
автор: Badasheva
Предмет: Экономика,
автор: kiree1
Предмет: Математика,
автор: 1232168