Предмет: Алгебра,
автор: mirstlama
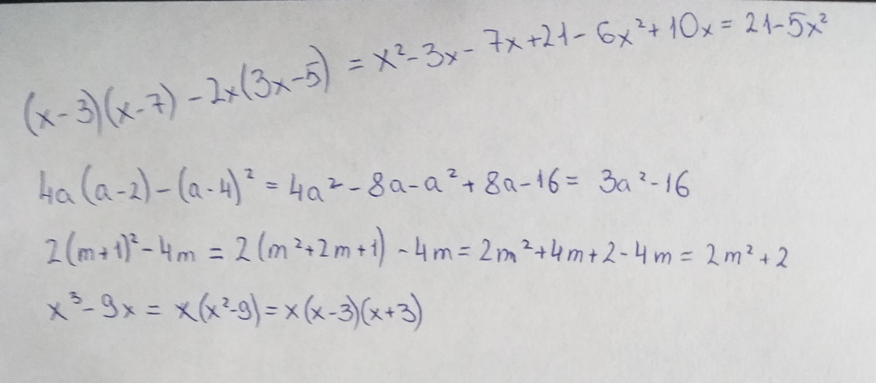
упростите выражение хотя бы одно
(х-3)( х-7)-2х(3х-5)
4а (а-2) - (а-4) последняя скобка во второй степени,
2 (m + 1) ²-4m
разложите на множетели
х в 3 степени -9х.
Ответы
Автор ответа:
2
Ответ:
Надеюсь, на фото все видно
Приложения:
Похожие вопросы
Предмет: Другие предметы,
автор: школьныезнания09
Предмет: Русский язык,
автор: Аноним
Предмет: Английский язык,
автор: sashaL2003
Предмет: Обществознание,
автор: ProffesionalBosse