Предмет: Математика,
автор: milanaulinets
Найдите корень уравнения : (2,5+у)/0,5=(6+2у)/0,4 ; 1,1-0,1у=-1,9-0,7у
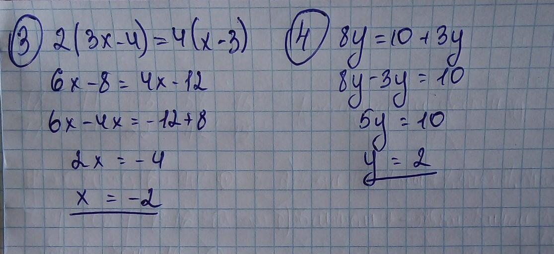
Решительно уравнение : 2*(3х-4)=4*(х-3) и 8у=10+3у
Ответы
Автор ответа:
2
Ответ:
В приложении
Если мой ответ Вам помог
Отметте его ЛУЧШИМ
Приложения:
Похожие вопросы
Предмет: Русский язык,
автор: brnjhbz
Предмет: Русский язык,
автор: eva030701
Предмет: Русский язык,
автор: Аноним
Предмет: Математика,
автор: Kastal2503