Предмет: Физика,
автор: bakusstas95
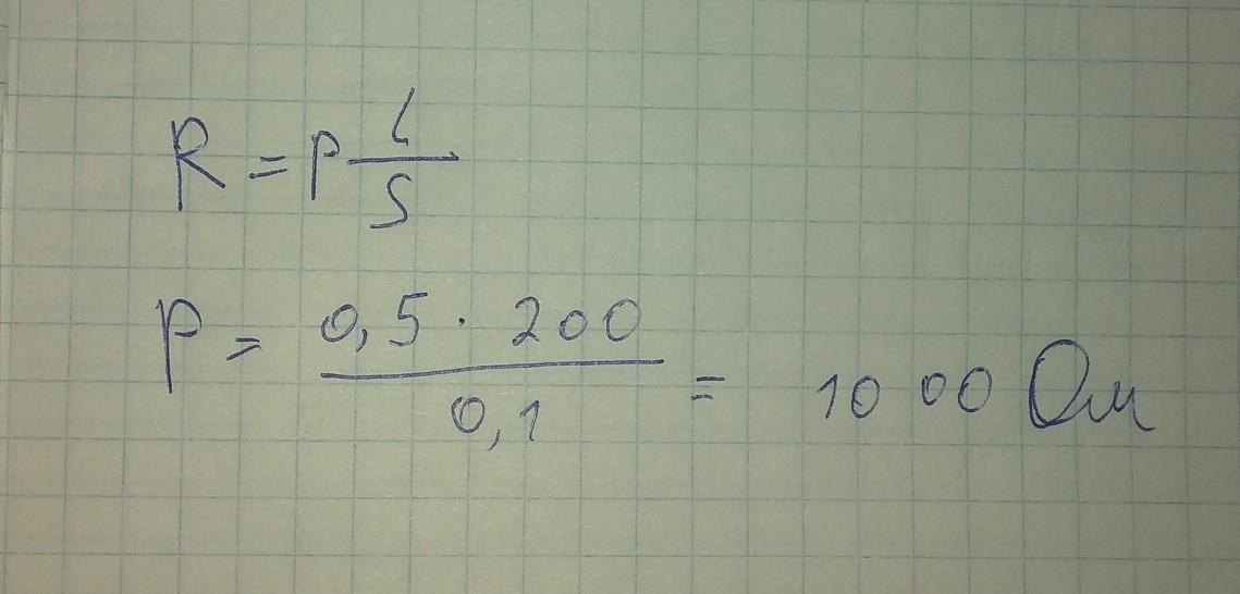
Определить электрическое сопротивление провода длиной 200 м с площадью поперечного
сечения 0,1 мм 2 . Удельное электрическое сопротивление материала 0, 5 Ом∙мм 2 /м.
Ответы
Автор ответа:
0
Ответ:
Фото
Объяснение:
......................
Приложения:
Nikitka1528:
Почему во второй строчке написано Р ??
Автор ответа:
0
Дано:
l = 200 м
S = 0,1 мм²
ρ = 0,5 Ом•мм²/м
R = ?
Решение:
R = ρl/S
R = 0,5•200/0,1 = 1000 Ом
Ответ: R = 1000 Ом
Похожие вопросы
Предмет: Русский язык,
автор: veronikagavrilova
Предмет: Английский язык,
автор: lysya2000
Предмет: Русский язык,
автор: анечка12356
Предмет: Математика,
автор: culdey2006
Предмет: Математика,
автор: KaTya31111