Предмет: Физика,
автор: lozanaangelina1
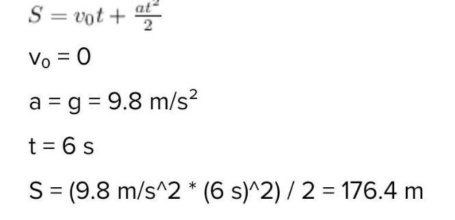
Визначити глубину колодязя, якщо камінь при падінні досягає дна за 6 секунд?
Ответы
Автор ответа:
1
Ответ: вот, надеюсь помог)
Приложения:
Похожие вопросы
Предмет: Русский язык,
автор: imikimi
Предмет: Русский язык,
автор: Аноним
Предмет: Русский язык,
автор: Lenalenok
Предмет: Физика,
автор: Gula2486
Предмет: Геометрия,
автор: sabitovamunira