Предмет: Алгебра, автор: brain130719

В арифметичній прогресії а1=14, а7=10. Знайдіть S10. СРОЧНО ПОМОГИТЕ ПОЖАЛУЙСТА

Ответы

Автор ответа: artalex74
2

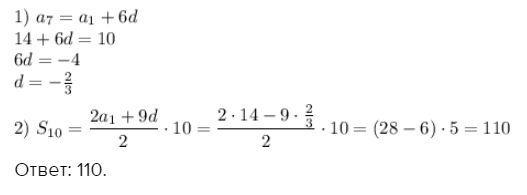
1)\ a_7=a_1+6d\\14+6d=10\\ 6d=-4\\ d=-\frac{2}{3}

2)\ S_{10}=\dfrac{2a_1+9d}{2}\cdot10=\dfrac{2\cdot14-9\cdot\frac{2}{3} }{2}\cdot10=(28-6)\cdot5=110

Ответ: 110.

Приложения:

karinacrassh728: Спасибо большое, жизнь спасли
Похожие вопросы
Предмет: История, автор: арина34333344