Предмет: Алгебра,
автор: burlinaAlina
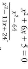
1)решить уравнение
2)сократить
пожалуйста,срочноооо
Приложения:
Ответы
Автор ответа:
0
Ответ:
1)D=6²-4×1×5=16
-b+корень D÷2a=-6+ корень 4÷2×1=-6+2÷2=-4÷2= -2
-b- корень D÷2a=-6- корень 4÷2=-6-2÷2a= -8÷2= -4
÷ это знак дроби
2)возьмём знаменатель и расчитаем через дискрименант
D=-11²-4×1×(-24)=-121+96=-25
D<0
значит нет решения
и остаётся числитель
x²-64
(x-8)(x+8) _ это всё, что мы можем сделать
Похожие вопросы
Предмет: Другие предметы,
автор: влад1010
Предмет: Другие предметы,
автор: kascher
Предмет: Русский язык,
автор: 03112000ф
Предмет: Геометрия,
автор: elena158
Предмет: География,
автор: Hsnhsuzbs