Предмет: Алгебра,
автор: Nonnsmes
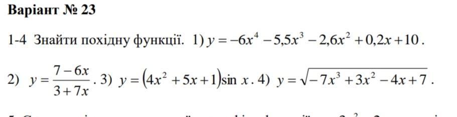
Похідна терміново допоможить
Приложения:
snizana49877:
А шо и мено 1 или 2
2 и 3 если получится ❤️
Ответы
Автор ответа:
0
Ответ:
Обьяснение на листочке и ответ
Объяснение:
Приложения:
Похожие вопросы
Предмет: Русский язык,
автор: Аноним
Предмет: Русский язык,
автор: ve4nost
Предмет: Українська мова,
автор: kviki16
Предмет: Химия,
автор: Queen2802
Предмет: История,
автор: Kristina02052008