Предмет: Математика, автор: uuurgbuiyttujht

Выполнить деление помогите

Приложения:

Ответы

Автор ответа: isachenkod0
0

Ответ:

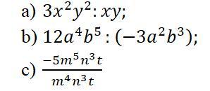
а. 3xy

Пошаговое объяснение:

b.4a^2b^2

c.-5m

везде просто сокращаем. при делении степени отнимаются . пояснение : ^2= в квадрате/во второй степени

Похожие вопросы
Предмет: Русский язык, автор: shuyskoe

Можете аргументы к сочинению найти на тему насилия? И по возможности написать вступление? 
Вот мое сочинение: 

"Насилие родит насилие" - именно с этих слов начинается статья В. Войновича. Уже в первом предложении четко выражена тема текста и её важность ни у кого не взывает сомнений. 
В данном тексте автор поднимает проблему насилия в совоременном мире. Эта проблема всегда была и будет актуальной. Ни проходит и дня, чтобы мы не узнали в СМИ об очередном проявлении насилия. 
Авторская точка зрения выражена довольно четко. Автор считает, что насилие нужно подавлять силой, но так же Войнович понимает, что только приминением силы не решить эту проблему. В этом тексте он предлагает ввести правила и законы для всех людей, но, к сожалению, еще нет таких государств, котрые могли бы их принять и осуществить. 
Почти со всеми суждениями и доводами автора я согласна, за исключением того, что против насилия нужно непрерывно вести войну, а люди, которые хотят провести переговоры, говорят пустые слова. Я считаю, что эти люди делают правильно. Не всегда, но их доводы помогают решить эту проблему. 
Одним из самых больших и жестоких проявлений насилия в истории конечно же был фашизм. Если подумать, то фашисты развязали войну без видимой на то причины. Зачастую насильники совершают преступления также без видимой на то причины, просто из-за ненависти к людям. Возможно, от части из-за каких-либо отклонений или других факторов, но нельзя все списывать на них. Перед законом все равны. 
Очевидно, что поднятую автором проблему очень трудно решить. Люди должны сами осознать всю сложность данной ситуации и стремиться изменить её. 

Пожалуйста, скажи на ваш взгляд, что нужно изменить и добавить.