Предмет: Математика, автор: uuurgbuiyttujht

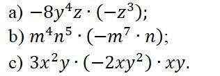
Найти произведение одночленов

Приложения:

Ответы

Автор ответа: IVANKIS1
1

Відповідь:

a)-8y^{4} z(-z^{3} )=8y^{4} z^{4}

b)m^{4}n^{5}  (-m^{7}n )=m^{11} n^{6}

c)3x^{2} y(-2xy^{2} )xy=6x^{4}y^{4}

Похожие вопросы
Предмет: Другие предметы, автор: Аноним
Предмет: Математика, автор: Krivetochka969