Предмет: Математика,
автор: часы7
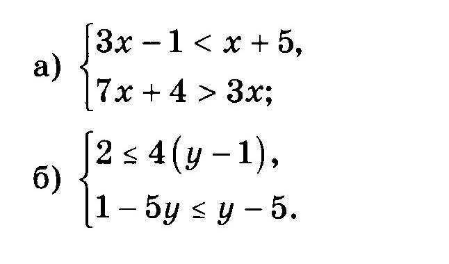
решите системы неравенств :
Приложения:
Ответы
Автор ответа:
0
Ответ: См.решение на фото.
Приложения:
Похожие вопросы
Предмет: Русский язык,
автор: PandaXD
Предмет: Русский язык,
автор: Sasha2100
Предмет: Английский язык,
автор: моп
Предмет: Математика,
автор: BeautifulGirl006
Предмет: Алгебра,
автор: Смузям