Предмет: Алгебра,
автор: killfaker9
срочно !!!
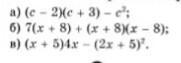
УПРОСТИТЕ ВЫРАЖЕНИЕ
Приложения:
Ответы
Автор ответа:
1
Ответ:
a) c - 6
б) x² + 7x - 8
в) -25
Объяснение:
a) (c-2)(c+3) - c² = c² + 3c - 2c - 6 - c² = c - 6
б) 7(x+8) + (x-8)(x+8) = 7x + 56 + x² - 64 = x² + 7x - 8
в) (x+5)*4x - (2x+5)² = 4x² + 20x - 4x² - 20x - 25 = -25
Похожие вопросы
Предмет: Русский язык,
автор: vanya5658
Предмет: Русский язык,
автор: boss25082003
Предмет: Английский язык,
автор: ВрэднаяЯ
Предмет: Математика,
автор: ПросвещённыйГолубь