Предмет: Алгебра,
автор: oksanapivnicka9
допоможіть!!!! будь ласка!!!!!
Приложения:
Ответы
Автор ответа:
1
Объяснение:
_______________________
Приложения:
Автор ответа:
1
Ответ:
Объяснение:
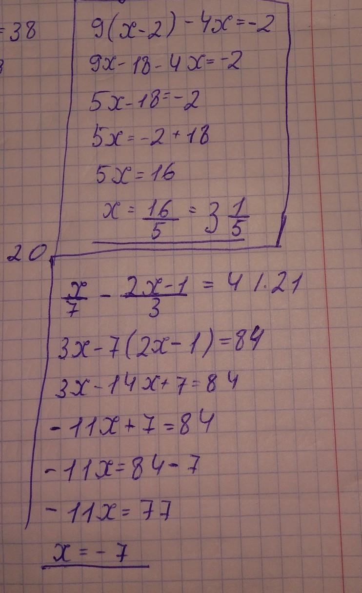
а) 9x-18-4x=-2, 5x=16, x=16/5=3,2
b) умножим все на 21, 21x/7-21(2x-1)/3=4*21,
3x-7(2x-1)=84, 3x-14x+7=84, -11x=77, x=-7
Похожие вопросы
Предмет: Другие предметы,
автор: MINARA55
Предмет: Английский язык,
автор: Зарик2000
Предмет: Другие предметы,
автор: конопляя
Предмет: Алгебра,
автор: DashaSuslova202
Предмет: Литература,
автор: ЭминаГрейс2017