Предмет: Математика,
автор: ruzgenko
Умоляю помогите пожалуйста прошу
Приложения:
Ответы
Автор ответа:
0
Ответ:
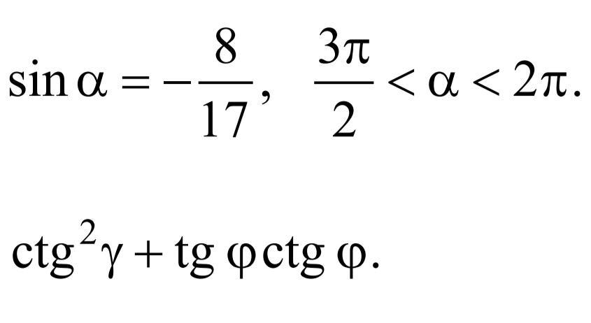
Пошаговое объяснение: 1) Cos²α= 1 -Sin²α = 1- (-8/17)² = 1 - 64/289 = 225/289 ; Cosα=±15/17, но 3π/2<α<2π, т.е. α ∈ 4 четверти ед. окружности, поэтому Cosα> 0 ⇒ Cosα= 15/17 2) ctg²γ +tgφ·ctgφ= ctg²γ + 1 = cos²γ /Sin²γ + 1 = (cos²γ +Sin²γ)/Sin²γ = 1/Sin²γ
Похожие вопросы
Предмет: Русский язык,
автор: Аноним
Предмет: Русский язык,
автор: anelk
Предмет: Русский язык,
автор: 90У4еНиК90
Предмет: Математика,
автор: Kirill54001
Предмет: Математика,
автор: ник3926