Предмет: Математика,
автор: Аноним
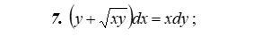
найти общий интеграл дифференциального уравнения, помогите, 2 штуки, пожалуйста!!!
Приложения:
Ответы
Автор ответа:
1
Ответ:
Пошаговое объяснение:
Приложения:
Похожие вопросы
Предмет: Русский язык,
автор: dianayan
Предмет: Українська література,
автор: Vladdn99
Предмет: Русский язык,
автор: Kishika
Предмет: Математика,
автор: daggy12