Предмет: Алгебра,
автор: pylypvasylyna
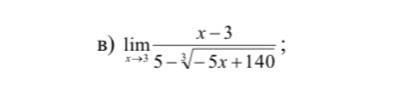
ПООООООООММММООООГГИИТТЕЕЕ СРОЧНО!!!!!!!!!!!!!!
важно именно решение!
Приложения:
Ответы
Автор ответа:
0
ОТВЕТ ВО ВЛОЖЕНИИИИИИ
Приложения:
Похожие вопросы
Предмет: Русский язык,
автор: Аноним
Предмет: Русский язык,
автор: belkaalex
Предмет: Русский язык,
автор: Annet2503
Предмет: Математика,
автор: Аноним
Предмет: Биология,
автор: Аноним