Предмет: Алгебра,
автор: Nekit777666
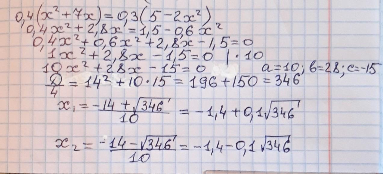
Помогите решить уровнение 0,4(x^2+7x)=0,3(5-2x^2) к виду ax^2+bx+c=0 и является ли оно приведённым квадратным уровнением.Запишите полностью своё решение и ответ. срочно
Ответы
Автор ответа:
0
Ответ:
Решите уравнение.
Уравнение не является приведенным, т.к.
а=10.
Приложения:
Похожие вопросы
Предмет: Английский язык,
автор: НеСкАфУ
Предмет: Русский язык,
автор: Елизаветушка
Предмет: Английский язык,
автор: Дииааннаа
Предмет: Математика,
автор: Аноним
Предмет: География,
автор: KAren200100