Предмет: Математика,
автор: Tyler123
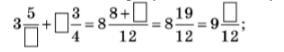
Помогите решить, пожалуйста!
Приложения:
Ответы
Автор ответа:
1
Ответ:
Похожие вопросы
Предмет: Английский язык,
автор: 31101
Предмет: Русский язык,
автор: Cleo55
Предмет: Русский язык,
автор: карал
Предмет: Математика,
автор: айну2
Предмет: Математика,
автор: настюшка271