Предмет: Математика,
автор: raceki9344
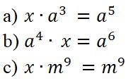
Выразить x в виде степени
Приложения:
Ответы
Автор ответа:
0
Ответ:
а) а2 × а3 = а5
б) а4 × а2 = а6
в) 1 × m9 = m9
Пошаговое объяснение:
а) При умножении степени прибавляются.
Похожие вопросы
Предмет: Английский язык,
автор: Vadim0705
Предмет: Английский язык,
автор: Christl
Предмет: Русский язык,
автор: olyabelka
Предмет: Литература,
автор: КъёрстиСмайл
Предмет: Математика,
автор: denis309