Предмет: Алгебра,
автор: fedosovatp
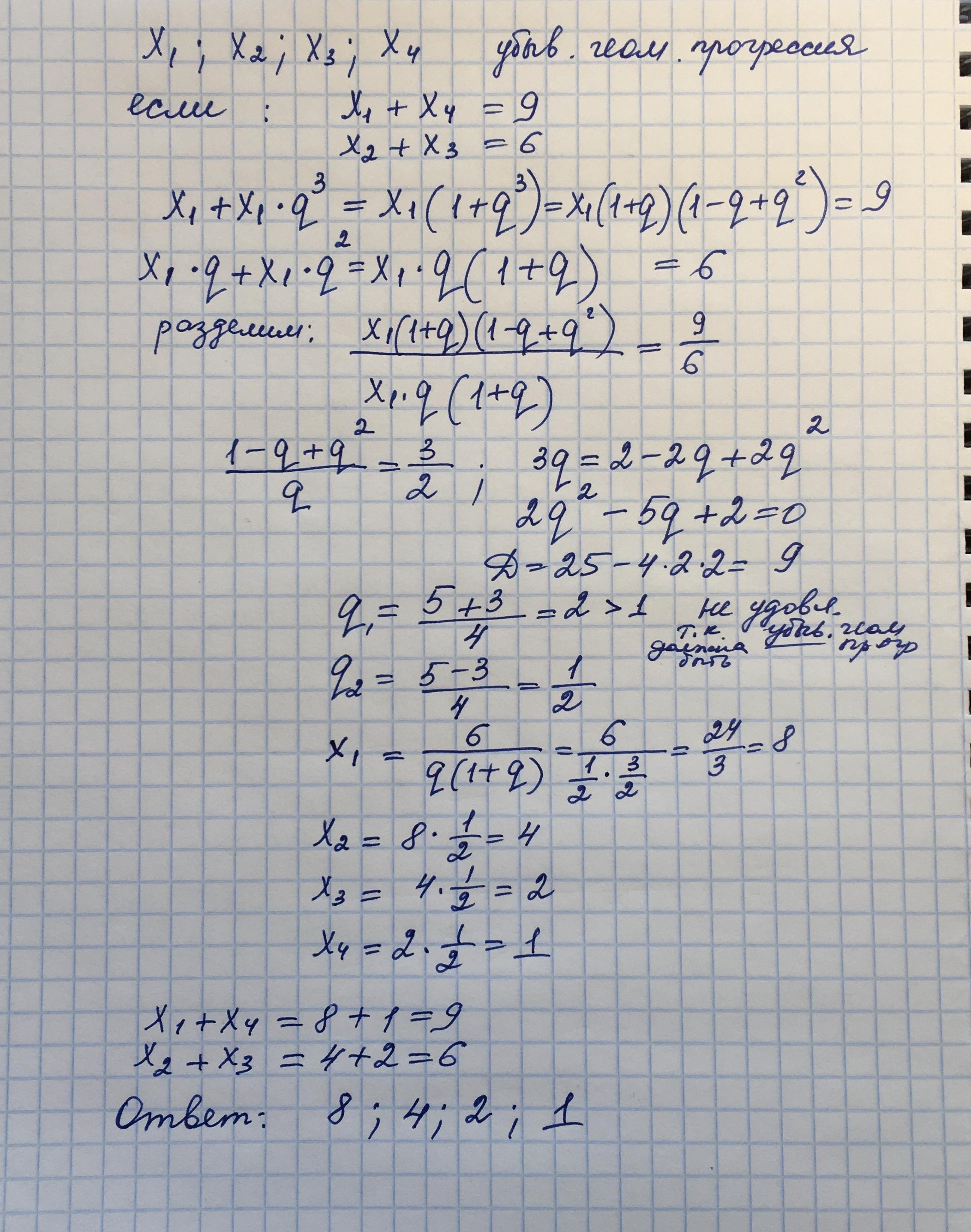
Найти 4 числа х1, х2, х3, х4,что образуют низходящую геометрическую прогрессию, если х1+х4=9, х2+х3=6.
Ответы
Автор ответа:
1
Ответ:
Объяснение:
..............................
Приложения:
Похожие вопросы
Предмет: Українська мова,
автор: Освіта
Предмет: Другие предметы,
автор: SoNyА
Предмет: Русский язык,
автор: mrtomasino
Предмет: Математика,
автор: про641
Предмет: Математика,
автор: мила500