Предмет: Алгебра,
автор: channelgy
1 Вариант пж:))
чем быстрее ,тем лучше
Приложения:
Ответы
Автор ответа:
1
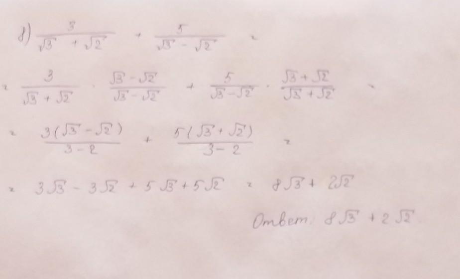
Решение сделал письменно, на листе выше)
Приложения:
Похожие вопросы
Предмет: Русский язык,
автор: denisenok2001
Предмет: Русский язык,
автор: Масяня999
Предмет: Русский язык,
автор: Аноним
Предмет: Математика,
автор: khabibulina041
Предмет: Алгебра,
автор: зикош2