Предмет: Алгебра,
автор: Helpmm
пОжАлУйСтА !НУЖНА ПОМОЩЬ С АЛГЕБРОЙ решить уравнение пожалуйста, отмечу как лучший ответ и 70 баллов!
Приложения:
petimatdedieva56:
))
Ответы
Автор ответа:
1
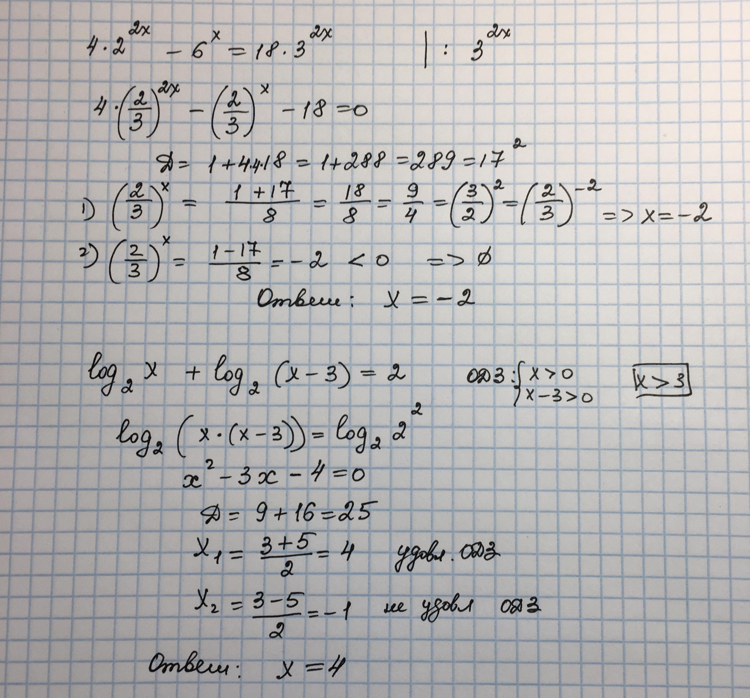
Решение во вложении:
Приложения:
что такие ОДЗ?
такое*)
область допустимых значений
спасибо большое
Автор ответа:
1
Ответ:
Объяснение:
........................
Приложения:
спасибо огромное
Похожие вопросы
Предмет: Русский язык,
автор: 000999888
Предмет: Английский язык,
автор: ульянка115
Предмет: Русский язык,
автор: масусик
Предмет: Математика,
автор: Madinka08
Предмет: География,
автор: kananna