Предмет: Алгебра,
автор: dryukdasha
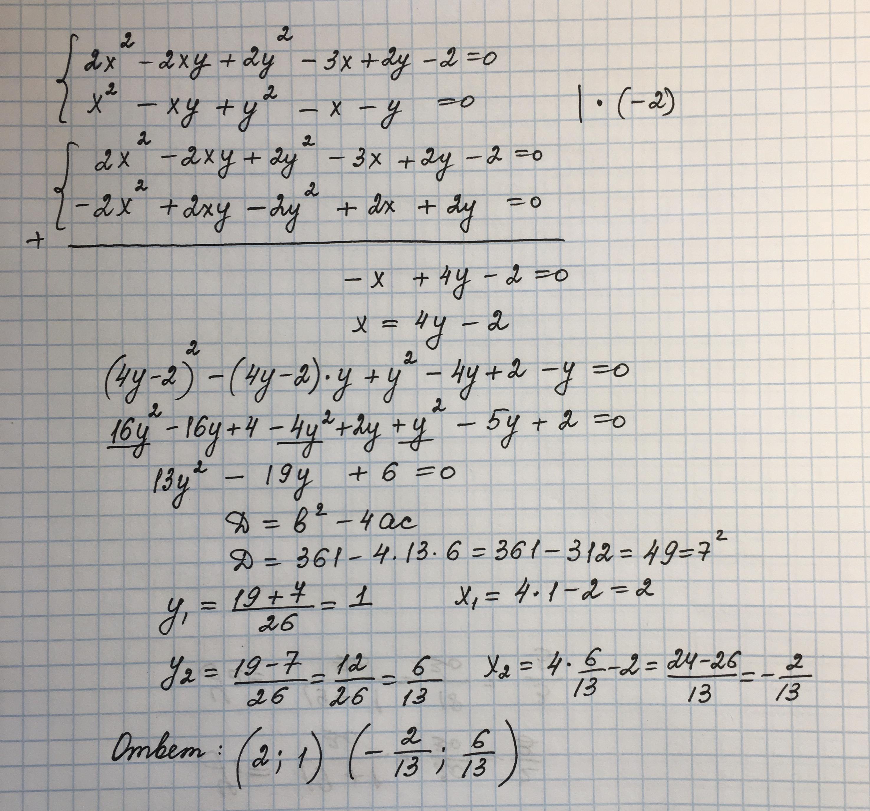
Помогите решить. Даю 20 очков
Приложения:
Ответы
Автор ответа:
1
Ответ:
Объяснение:
..............................
Приложения:
Похожие вопросы
Предмет: Українська мова,
автор: Лизо4к
Предмет: Русский язык,
автор: ЛеНа2013
Предмет: Русский язык,
автор: marinagalushko
Предмет: Геометрия,
автор: 1Молли1
Предмет: Геометрия,
автор: Аноним