Предмет: Математика,
автор: nastyametelevaaa
Помогите пожалуйста решить(
дам 35 баллов
Приложения:
alsuu00:
за 50 баллов сделаю
Ответы
Автор ответа:
1
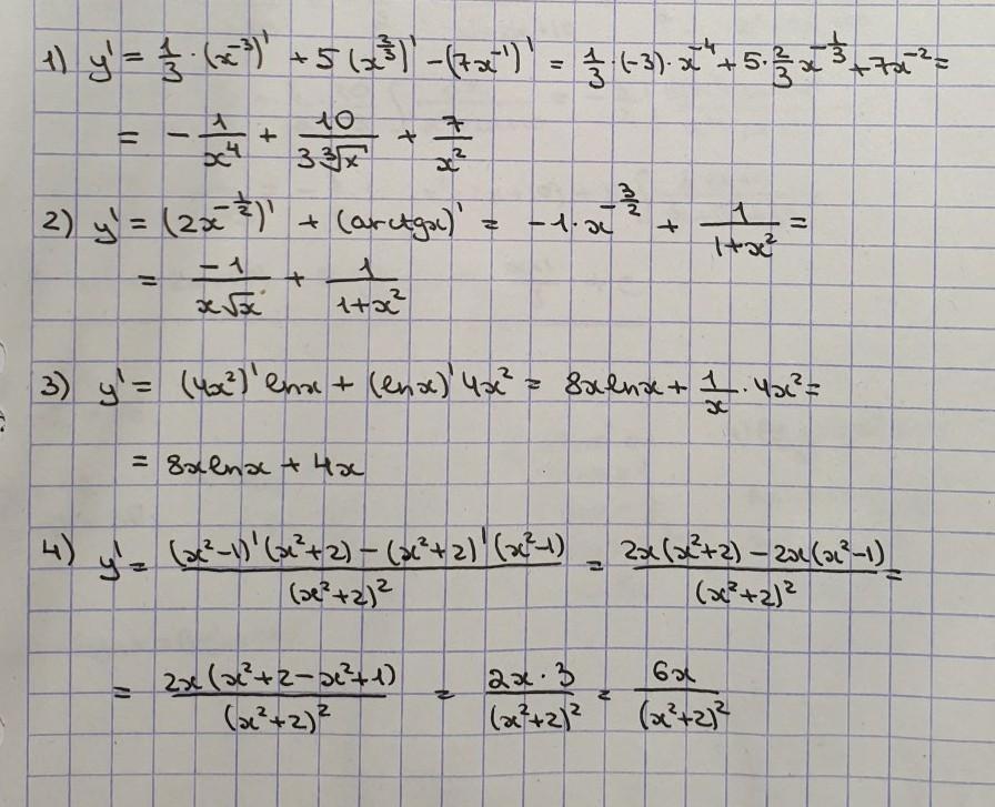
Ответ:
решение на фотографиях
Приложения:
Похожие вопросы
Предмет: Русский язык,
автор: Лucёнок
Предмет: Другие предметы,
автор: karate05
Предмет: Другие предметы,
автор: виталик002
Предмет: Алгебра,
автор: Аноним
Предмет: Биология,
автор: lara092004