Предмет: Алгебра,
автор: lewaq
ПОМОГИТЕ СРОЧНО ПОЖАЛУЙСТА
Приложения:
Ответы
Автор ответа:
0
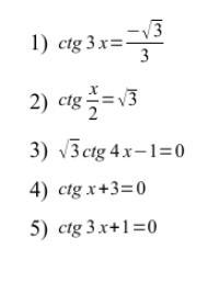
1) ctg3x = -
3x = (π-π/3) + πk
3x = 2π/3 + πk
x = 2π/9 +πk/3
2) ctg(x/2) =
x/2 = π/6 + πk
x = π/3 + 2πk
3) ctg4x -1 = 0
ctg4x = 1
ctg4x = 1/
ctg4x =
4x = π/3 +πk
x = π/12 + πk/4
4) ctgx+3 = 0
ctgx = -3
x = -arcctg(3)+πk
5) ctg3x+1 = 0
ctg3x = -1
3x = (π-π/4) + πk
3x = 3π/4 + πk
x = π/4 + πk/3
Похожие вопросы
Предмет: Другие предметы,
автор: Sophijka1011
Предмет: Русский язык,
автор: shmatckoolia
Предмет: Қазақ тiлi,
автор: Кира69
Предмет: Математика,
автор: Dean1979