Предмет: Математика,
автор: vanazevs2
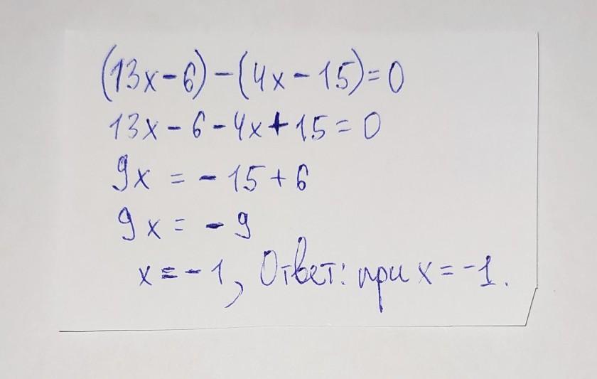
при каком значении х разность выражений 13х-6 и 4х-15 равна 0
Ответы
Автор ответа:
6
Ответ: на картинке
Решение: на картинке
Приложения:
vanazevs2:
спасибо большое
Похожие вопросы
Предмет: Русский язык,
автор: llyllcuk
Предмет: Русский язык,
автор: umnik4
Предмет: Русский язык,
автор: setdfkcgyui
Предмет: Биология,
автор: yfcnz20046
Предмет: Музыка,
автор: POMOGYPLIZ