Предмет: Алгебра, автор: bibose

вычислите интеграл, с решением ​

Приложения:

Ответы

Автор ответа: Helper211
1

Ответ:

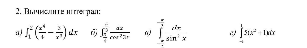
а) 0.425

б) \frac{1}{3}

в) \frac{\sqrt{3}}{3}

г) \frac{40}{3}

Объяснение:

а)

\int\limits^2_1 {(\frac{x^4}{4}-\frac{3}{x^3} )} \, dx= \int\limits^2_1 {\frac{x^4}{4}} \, dx-\int\limits^2_1 {\frac{3}{x^3}} \, dx=\frac{1}{4}\cdot \frac{x^5}{5}\bigg|\limits^2_1- (-\frac{3}{2x^2}\bigg|\limits^2_1)=\frac{1}{4}\cdot(\frac{2^5}{5}-\frac{1^5}{5})+(\frac{3}{2\cdot2^2}-\frac{3}{2\cdot1^2})=\frac{31}{20}-\frac{9}{8}=\frac{17}{40}=0.425

б)

\int\limits^{\frac{\pi}{3}}_{\frac{\pi}{4}} {\frac{dx}{cos^23x}} =\frac{1}{3}tg3x \bigg|\limits^{\frac{\pi}{3}}_{\frac{\pi}{4}}=\frac{1}{3}(tg(3\cdot \frac{\pi}{3}})-tg(3\cdot  \frac{\pi}{4}}))=\frac{1}{3}(tg(\pi)-tg( \frac{3 \pi}{4}}))=\\\\\frac{1}{3}(0-(-1))=\frac{1}{3}

в)

\int\limits^{-\frac{\pi}{3}}_{-\frac{\pi}{2}} {\frac{dx}{sin^2x}} =-ctg(x)\bigg|\limits^{-\frac{\pi}{3}}_{-\frac{\pi}{2}}=-(ctg(-\frac{\pi}{3})-ctg(-\frac{\pi}{2}))=-(-\frac{\sqrt{3}}{3}-0)=\frac{\sqrt{3}}{3}

г)

\int\limits^{1}_{-1} {5(x^2+1)} \, dx =5\int\limits^{1}_{-1} {(x^2+1)} \, dx=\\5\left[ \int\limits^{1}_{-1} {x^2} \, dx+\int\limits^{1}_{-1} {1} \, dx \right] =5\left[ \frac{x^3}{3}\bigg|\limits^{1}_{-1}+x\bigg|\limits^{1}_{-1} \right]=\frac{40}{3}

Похожие вопросы
Предмет: Химия, автор: Lexa4829
1.​ Дайте полную характеристику по положению в периодической системе химических элементов элементу Na.

2.​ Какому элементу соответствует строение атома + 15 )2 )8 )5?

а. К б. Р в. С г. Са


3.​ Укажите, какой состав соответствует атому CI?

а. 35 протонов, 35 электронов, 17 нейтронов;

б. 35 протона, 35 электронов, 35 нейтронов;

в. 17 протона, 17 электронов, 18 нейтронов;

г. 17 протона, 18 электронов, 18 нейтронов.

4.​ Ковалентная связь образуется электронами внешнего слоя при возникновении……

1.​ Общих электронных пар;

2.​ Возникновении ионов;

3.​ Свободных электронов.

5. Ковалентная полярная связь в соединениях:

1.​ MgS, B2O3, K2O

б. KNaCO3, LiCI, CaC2

2.​ H2, N2, O2

г. HF, SiO2, P2O5


6. Ионная связь возникает при соединении атомов….

1.​ Неметаллов и возникновении общих электронных пар;

2.​ Неметаллов и металлов;

3.​ Металлов I, IIA и неметаллов VI, VIIA с переходом электронов от металла к неметаллу, образованием ионов и их электростатическом притяжении.

7. Степень окисления S равна – 2 в соединении:

а. SО3 б. Н2SО4 в. К2S г. SО2

8. Степень окисления CI +5, а О -2. Правильная формула соединения:

а. CI2О7 б. CI3О5 в. CI2О5 г.О5CI2


9. Рассчитайте количество вещества СаCI2 массой 22,2 г.