Предмет: Математика, автор: 1448smile

Элементы высшей математики. Интегралы.

Приложения:

Ответы

Автор ответа: AoiK
1

Ответ:

\frac{3ln^2(x-5)*\sqrt[3]{ln(x-5)} }{7}+c

Пошаговое объяснение:

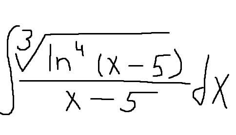
\int\limits {\frac{\sqrt[3]{ln^4(x-5)} }{x-5} } \, dx  = \int\limits {\frac{ln^{\frac{4}{3} } (x-5) }{x-5} } \, dx = \frac{3ln^2(x-5)*\sqrt[3]{ln(x-5)} }{7}+c


Winner1919: Доброго времени суток! Вы умеете такое решать? https://znanija.com/task/37041536
Автор ответа: Alexаndr
0

\displaystyle\int\frac{\sqrt[3]{ln^4(x-5)}}{x-5}dx=\int\sqrt[3]{ln^4(x-5)}d(ln(x-5))=\\=\frac{3\sqrt[3]{ln^7(x-5)}}{7}+C


Winner1919: Доброго времени суток! Вы умеете такое решать? https://znanija.com/task/37041536
Похожие вопросы
Предмет: Алгебра, автор: nikson99