Предмет: Математика,
автор: kotoekaterina
ДАЮ МНОГО БАЛЛОВ!ПРОИЗВОДНЫЕ,РЕШИТЕ ПЖ
Приложения:
Ответы
Автор ответа:
1
Ответ:
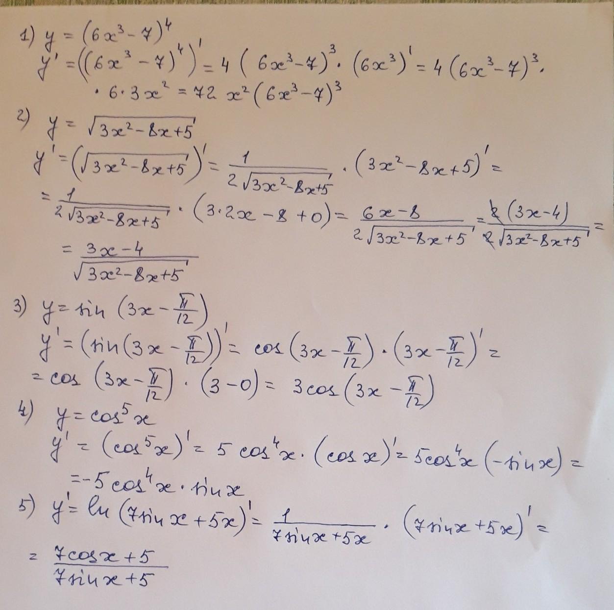
Вычислите производные функций.
Приложения:
Похожие вопросы
Предмет: Английский язык,
автор: laviol
Предмет: Другие предметы,
автор: пюрешечка
Предмет: Английский язык,
автор: ganzales
Предмет: Биология,
автор: ЯлюбимаЯВикториЯ
Предмет: Математика,
автор: лизунишкалилу575